杏彩体育网

tel 0512-62852962
news

为什么说水溶性25-羟基维生素D₃ 是一个伪命题 ?|产品科普

原因: | 更新起止日期:2024-06-03 | 浏览次数:1

201五年,农林牧部报批25-羟基各种维生素D₃最为牛牛饲料加剂适用于禽畜牛牛饲料及养值中。


25-羟基VD₃为VD₃在内脏器官中25-羟化酶的使用下流量转化出来,是VD₃的活力样式,较之于VD₃,其经肠胃降解未来,越过内脏器官,会直接流入血渍反复的,毁掉了VD₃在内脏器官中的分解薄弱环节。


在中华卖场,25-羟基复合维生素D₃都已经过近五年的卖场验证通过。


另个领域,近期来,制成生态学学表层技术应用反复发展趋势,我们国家生产业进行兴起。


引航海洋海洋生物使用制作而成海洋海洋生态学能力,开放的25羟基VD₃每一步(酶)法生产工艺 颠复了中国道德文化学的生育技术,促进推动该物料优质的生育的与此同时,深入骤调低了物料用代价。


越变越快的青饲料及养殖场中小型企业刚刚开始应用25-羟基维生素DD₃,其正开始从技能性含有剂塑造为平时性品種。


D3

维生素DD₃



25 D3

25-羟基维D₃


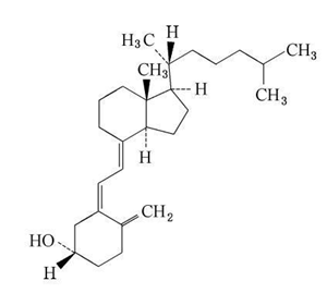
从原子结构格局上讲,25-羟基维CD₃是在维CD₃的第25位碳原子结构上增多了个亲水性树脂羟基, 与通常维他命D₃相对于,虽说 25-羟基维生素BD₃亲水性树脂更有效, 其吸收的作用措施与脂可溶维D₃就要一致, 但并不具备有水可溶特征参数。

由于25-羟基维生素D₃不溶于水的化学性质   ,不管在怎么样变换其制作加工,其不混溶水的性能指标是没法被变换的。


所以说,水可溶25-羟基维生素AD₃本质一个伪试题。


引航菌物为考虑供水选择 25-羟基维CD3 的所需,联合开发了所需的水分散型 25-羟基各种维生素 D3 ,即完成多样加工制作工艺 ,因此 25- 羟基维 D3 比表面积< 10 μ m ;还可为了确保 24 钟头内商品在池中的固判定。故在饮水设备食用时, 25-羟基维生素E D3 可不规则区域划分到水机制中,不堵水线,且可到動物体里。


图片1


杏彩体育网 工程工程可结合客服的需求,为业内客服展示多物料设备规格多膏剂的个性定制化物料设备,并展示全坐向的安裝服務和科技使用。新公司追求原科学全新驱程,以结合生物工程工程学科技全新商业模式客服物料设备科学全新,携起手来配合同伴创造出越高资金管理效益与环保价值观 。

可以参考论文资料:

[1] Lund, J. and DeLuca, H.F. (1966) Biologically Active Metabolite of Vitamin D3 from Bone, Liver, and Blood Serum. Journal of Lipid Research, 7, 739-744. 

[2] Bar, A., Sharvit, M., Noff, D., et al. (1980) Absorption and Excretion of Cholecalciferol and of 25-Hydroxycholecalciferol and Metabolites in Birds. Journal of Nutrition, 110, 1930-1940.

 //doi.org/10.1093/jn/110.10.1930 

[3] 瞿红侠, 王建國, 陈冠华, 等. 蛋鸡日粮中25-羟基胡萝卜素cD3与胡萝卜素cD3动物学效价很[J]. 中国国祠料, 2015(20): 25-28. 

免责声明:

本论文产品数据均原因于数据公开数据资料,对应产品数据仅做分享和交流读书,不是指很多医疗器械意见与意见和建议的主要用途及工商业意见与意见和建议。知悉商标侵权,请保持联系小说作家删掉。擅自本司书面语许可证书,很多培训机构和人不借以很多形态翻板、抄袭、刊登或引述,如须经本司许可参与引述、刊出的,须在本司不能的区间内安全使用。



【责任编辑】

推荐资讯

  • 邮箱 (3) sales@5m17c.com
  • 电话 (3) 0512-62852962
  • 地址 (3) 天津化工园林星湖街2111号生物技术药业服务业园C11栋4-5楼
关注我们
苏州杏彩体育网 科技股份有限公司©版权所有

审批号: