杏彩体育网

tel 0512-62852962
news

深度解析NMN原料的流动性,科学评价方法大公开!|产品科普

源头: | 发部期限:2024-07-05 | 浏览次数:1
我们大家在生活水平中长时间会冲服到粉剂胶襄,它们的的质量是怎样才能确保相同的呢? 显然这和胶襄中粉未主要原材的的流通性紧密各种相关。主要原材的的流通性对设备的灌装,胶襄剂与片状等的总重量对比,及及普通的分娩进行具有着关键决定。

那么,如何科学评价NMN原料的流动性?

一、休止角与流动性

休止角是定期检查纳米金属粉末传递性好怀最简便计算的工艺,但不相同精确测量工艺的数据表格进行不相同,重新性比较,对此不可以休止角身为纳米金属粉末的同一个物理学常数。 休止角:(Angle of Repose,θ)离子在纳米纳米粉体堆砌层的随心所欲斜上旋转时,当所受到撞击力和离子间撞击力高达稳定时处在不动的形态,因此纳米纳米粉体堆砌层的斜面与总体水平面的交角即休止角。 正常会认为θ≤30°时,粉末纯净水性好;θ≤40°时可能需要满足生产制造阶段中纯净水性的市场需求。 所用的检验方式有注射到法、排下来法和偏移角法等,右图右图。

微信图片_20240705130057

微信截图_20240705130106

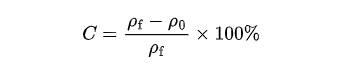
二、 压缩度和豪斯纳比与流动性

将一定的量的粉剂在无机械噪声的运行下装进去量筒后量测初始松比热容算起,能够 机械噪声使粉剂发生最紧动态,量测决定性的比热容算起;算起最松溶解度ρ0与最紧溶解度ρf,可根据公试算起压解度C。

微信截图_20240705130345

1.降低度不低于20%时传播性最号; 2.挤压度为20%~40%时外流力差; 3.降低度多于40%时流通性较差。 豪斯纳比体现了比热容不同:金属粉末干硬方式的表观比热容(Vo)和振实比热容(Vf)测值为豪斯纳比。

微信截图_20240705130115

NMN的流动性越好,产品越好?

流动性过强或者太差都不利于产品的应用和加工。出入性不佳带去的的话题是不言而喻的,出入性过强机会会带去之下的话题: 

微信截图_20240705130700


一般情况下,休止角是测定NMN流动性较为常用的方法,其最佳范围宜控制在30°~40°之间。

欢迎词您就技能地方与我使用更加深入浅议

参考资料:

[1] 潘卫三,刘伟. 去除剂的计量学. 首都: 生物学工业化的出书社,2017.

[2] 国内药典常务专委会.粉剂流动量性法测教育指导前提[EB/OL].(2022.12.19)[2024.07.02].[//mp.weixin.qq.com/s/QMEynsdJwzCIdBAM8qPEGA]

免责声明:

今天数据均主要来出自公示文件,相关内容数据仅做探讨借鉴,不意味着其余医疗器械建立应用及商业运作建立。若有侵权商标,请保持联系作著误删。不经本企业书面形势同意,其余企业和我不而非其余形势复刻的、复刻、撤稿或摘引,如须经本企业同样采取摘引、发表的,须在本企业同意的规模内施用。


【责任编辑】

推荐资讯

  • 邮箱 (3) sales@5m17c.com
  • 电话 (3) 0512-62852962
  • 地址 (3) 郑州化工园区规划星湖街219号生物体制药加工业园C11栋4-5楼
关注我们
苏州杏彩体育网 科技股份有限公司©版权所有

备案信息号: