杏彩体育网

news

全球首例,这项人体临床试验证实NMN的安全性|行业研究

来原: | 公布时间日期:2023-10-07 | 浏览次数:1
 

科学研究表明,细胞内烟酷胺腺瞟吟二核昔酸(NAD+)水平的下降会导致与衰老相关的疾病,而在动物模型中,增加细胞NAD的治疗方法可以预防这些疾病。同时,大量研究表明,补充NMN等NAD+前体物质,可使体内的NAD+水平上升,为细胞供能,从而减轻与衰老相关的功能障碍。

20230925164005521G


为了研究NMN对人体的安全性,2016年,日本庆应义塾大学进行NMN第一次人体临床研究,并在2019年发表了试验结果通过评估日本健康男性的临床参数及其代谢物水平来检验单次NMN给药的安全性。

图片1

NMN安全性试验_02

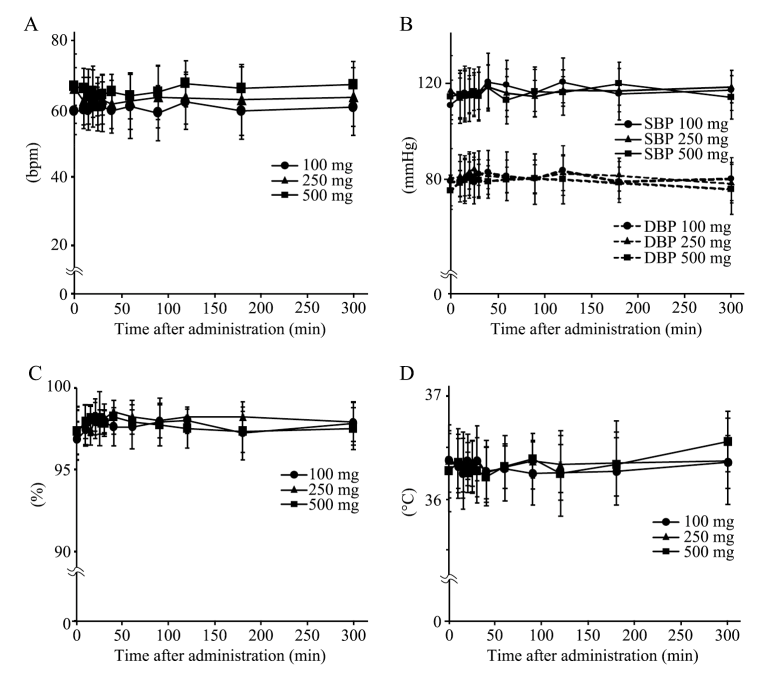
药学参数值这方面,研究探讨信息显示累计内服NMN未引发的任何的很大的药学症狀或心率、心率、血氧达到饱和状态度和人体体温的改变。

图片2

【心率(A)、血压正常(B)、血氧趋于稳定度(C)、体温表(D)】   血清因素工作方面,试验室分析一下后果屏幕上表现,不仅血清胆红素水准增大与血清肌酐、氯化物和血糖水准在的降低外沒有没得屏幕上表现出清晰的变动,而且许多变动始终保持在正常的范畴内,与NMN的药量不相干。

实验-2

【总胆红素(C)、肌酐(E)、钠和氯(F)、夏黑葡萄糖注射液(G)】   口服液NMN后血浆NMN代谢转化物总体水平的变现出现,n -甲基-2-吡啶酮-5-羧酰胺(2Py)和n -甲基-4-吡啶酮-5-羧酰胺(4Py)的血浆氨水浓度在NMN给药后呈分子量反作用关系性加剧,适用了受试者对NMN的分子量反作用关系性摄入。

图片7

【NMN的消化吸收前提条件就像文中(A)、2Py (B)、4Py (C)】   纠正前前后后骨科医生全面定期检查报告无特殊差别的。面神经设计、眼袋和骨科医生技术指标的全面定期检查报告在整个用量的NMN给药后均未显现每特殊影响。

眼科参数

整体来说,此类研究探讨表示,身体健康男人一次内服NMN更是高达500mg是安全防护的,并经高效能基础代谢不易激发其余很明显的会伤作用。 阅读答案下载链接://pubmed.ncbi.nlm.nih.gov/31685720/

免责声明怎么写:

这篇文章图片信息查询均来历于信息查询公开资源,有关于图片信息查询仅做分享赚钱学习了解,不表示什么整形最好领域及餐饮业最好。如果侵犯商标权,请找话题小说作者删掉。

本项目归本我司原创网音乐版权每个,一经本我司予以许可证书,每中介机构和人个不难于每样式反板、读取、发表论文或应用。如取得本我司赞同做应用、刊登的,须在本我司不能的的范围内应用。

【责任编辑】

推荐资讯

关注我们
苏州杏彩体育网 科技股份有限公司©版权所有

备案通过号: